×
Despre noi
Audienţa cetăţenilor
Exdrupo
Structura
Locuri vacante
Concurs de angajare
Transparență decizională
Achiziții publice
Rapoarte
Proces decizional
Integritate și anticorupție
Regulamente
Intervenția sezonului rece
Intervențiile de lichidare a situațiilor de avariere prin metoda de injectare
Proiecte
Știri&Media
Știri
Comunicate de presă
Contacte
Despre noi
Audienţa cetăţenilor
Exdrupo
Structura
Locuri vacante
Concurs de angajare
Transparență decizională
Achiziții publice
Rapoarte
Proces decizional
Integritate și anticorupție
Regulamente
Intervenția sezonului rece
Intervențiile de lichidare a situațiilor de avariere prin metoda de injectare
Proiecte
Știri&Media
Știri
Comunicate de presă
Contacte
Meniu
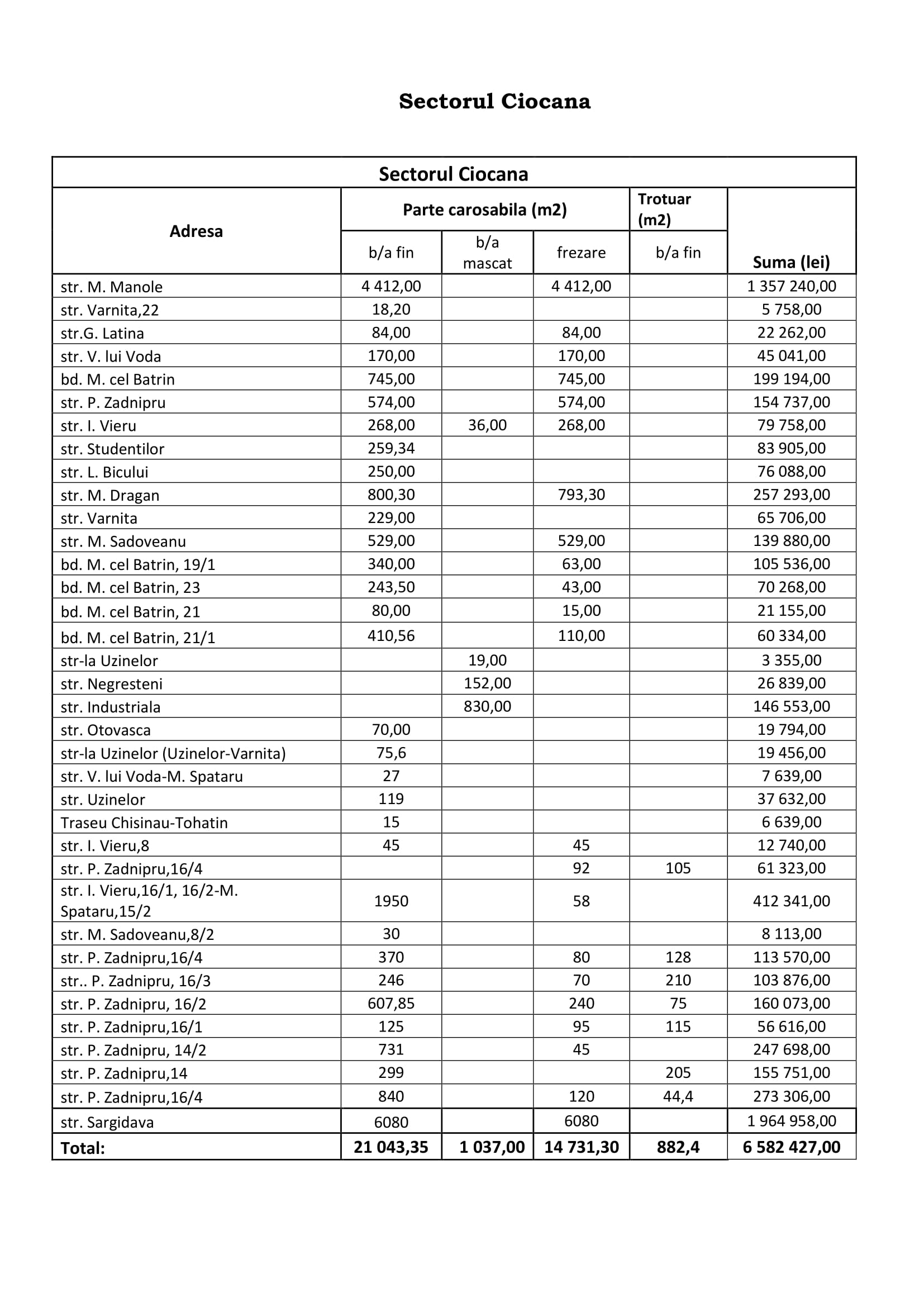
Lucari executate Ciocana
Articole recente
Ordin cu privire la redistribuirea timpului efectiv în zilele de repaus, sărbătoare nelucrătoare și pe timp de noapte
Ordin cu privire la redistribuirea timpului efectiv în zilele de repaus, sărbătoare nelucrătoare și pe timp de noapte
Situația privind deszăpezirea străzilor și combaterea poleiului pe teritoriul capitalei: 10.01.2024
Mesaj de felicitare cu prilejul Sărbătorilor Pascale
ÎM Regia “EXDRUPO” Vă anunță că vor avea loc lucrări de reparație a străzii M. Costin
Comentarii recente
Categorii
Fără categorie
Știri & Media
Comentarii recente